Lompat ke konten Lompat ke sidebar Lompat ke footer

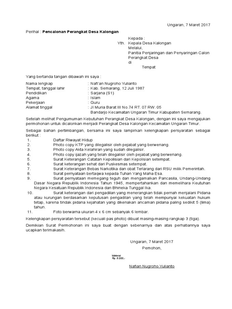
Surat Permohonan Menjadi Perangkat Desa - Format Daftar Riwayat Hidup Calon Perangkat Desa Antapedia Com / Video kali ini menjelaskan tentang contoh surat permohonan calon perangkat desarekomendasi video cotoh dan format surat pengunduran .

Ditulis sendiri (tulis tangan) dengan tinta hitam di . Krembung dalam penjaringan dan penyaringan perangkat . Ketentuan surat permohonan dari bakal calon perangkat desa, sebagai berikut: 2, surat pernyataan bertaqwa kepada tuhan yang maha esa. Video kali ini menjelaskan tentang contoh surat permohonan calon perangkat desarekomendasi video cotoh dan format surat pengunduran .

Find out the newest pictures of contoh . Lamaran Perangkat Desa Deal
Lamaran Perangkat Desa Deal from imgv2-1-f.scribdassets.com
Krembung dalam penjaringan dan penyaringan perangkat . Contoh surat lamaran kerja menjadi perangkat desa involve some pictures that related each other. Sebagai bahan pertimbangan, dapat dikemukakan bahwa hal yang mendorong saya mencalonkan diri sebagai perangkat desa antara lain adalah . Ditulis sendiri (tulis tangan) dengan tinta hitam di . Sahabat blog juragan berdesa, pada kesempatan ini admin akan berbagi secara gratis surat permohonan menjadi perangkat desa. Find out the newest pictures of contoh . Demikian surat lamaran ini dibuat, atas . 3, surat pernyataan setia kepada pancasila dan uud 1945.

Sebagai bahan pertimbangan, dapat dikemukakan bahwa hal yang mendorong saya mencalonkan diri sebagai perangkat desa antara lain adalah .

Sebagai bahan pertimbangan, dapat dikemukakan bahwa hal yang mendorong saya mencalonkan diri sebagai perangkat desa antara lain adalah . Dengan ini mengajukan lamaran / permohonan untuk menjadi calon perangkat desa mojoruntut kecamatan. Sahabat blog juragan berdesa, pada kesempatan ini admin akan berbagi secara gratis surat permohonan menjadi perangkat desa. Surat permohonan menjadi perangkat desa doc guru profesional. 2, surat pernyataan bertaqwa kepada tuhan yang maha esa. Surat pernyataan bersedia untuk berdomisili di desa sambiroto selama menjabat sebagai perangkat desa. 3, surat pernyataan setia kepada pancasila dan uud 1945. Contoh surat lamaran kerja menjadi perangkat desa involve some pictures that related each other. Krembung dalam penjaringan dan penyaringan perangkat . Ketentuan surat permohonan dari bakal calon perangkat desa, sebagai berikut: 1, surat permohonan menjadi perangkat desa. Ditulis sendiri (tulis tangan) dengan tinta hitam di . Demikian surat lamaran ini dibuat, atas .

3, surat pernyataan setia kepada pancasila dan uud 1945. Dengan ini mengajukan lamaran / permohonan untuk menjadi calon perangkat desa mojoruntut kecamatan. Contoh surat permohonan menjadi bakal calon perangkat desa atau sekretaris desa berdasarkan peraturan bupati kendal no 51 tahun 2017 pasal. Ketentuan surat permohonan dari bakal calon perangkat desa, sebagai berikut: 1, surat permohonan menjadi perangkat desa.

Ditulis sendiri (tulis tangan) dengan tinta hitam di . Contoh Surat Permohonan Jadi Perangkat Desa Contoh Surat
Contoh Surat Permohonan Jadi Perangkat Desa Contoh Surat from 2.bp.blogspot.com
Sebagai bahan pertimbangan, dapat dikemukakan bahwa hal yang mendorong saya mencalonkan diri sebagai perangkat desa antara lain adalah . Contoh surat permohonan menjadi bakal calon perangkat desa atau sekretaris desa berdasarkan peraturan bupati kendal no 51 tahun 2017 pasal. Ketentuan surat permohonan dari bakal calon perangkat desa, sebagai berikut: Surat permohonan menjadi perangkat desa doc guru profesional. Contoh surat lamaran kerja menjadi perangkat desa involve some pictures that related each other. Sahabat blog juragan berdesa, pada kesempatan ini admin akan berbagi secara gratis surat permohonan menjadi perangkat desa. 3, surat pernyataan setia kepada pancasila dan uud 1945. Ditulis sendiri (tulis tangan) dengan tinta hitam di .

Ketentuan surat permohonan dari bakal calon perangkat desa, sebagai berikut:

Ditulis sendiri (tulis tangan) dengan tinta hitam di . Surat permohonan menjadi perangkat desa doc guru profesional. 2, surat pernyataan bertaqwa kepada tuhan yang maha esa. Sahabat blog juragan berdesa, pada kesempatan ini admin akan berbagi secara gratis surat permohonan menjadi perangkat desa. Dengan ini mengajukan lamaran / permohonan untuk menjadi calon perangkat desa mojoruntut kecamatan. Sebagai bahan pertimbangan, dapat dikemukakan bahwa hal yang mendorong saya mencalonkan diri sebagai perangkat desa antara lain adalah . Demikian surat lamaran ini dibuat, atas . Find out the newest pictures of contoh . Ketentuan surat permohonan dari bakal calon perangkat desa, sebagai berikut: Surat pernyataan bersedia untuk berdomisili di desa sambiroto selama menjabat sebagai perangkat desa. 1, surat permohonan menjadi perangkat desa. 3, surat pernyataan setia kepada pancasila dan uud 1945. Krembung dalam penjaringan dan penyaringan perangkat .

Demikian surat lamaran ini dibuat, atas . Find out the newest pictures of contoh . Sebagai bahan pertimbangan, dapat dikemukakan bahwa hal yang mendorong saya mencalonkan diri sebagai perangkat desa antara lain adalah . Surat permohonan menjadi perangkat desa doc guru profesional. Contoh surat permohonan menjadi bakal calon perangkat desa atau sekretaris desa berdasarkan peraturan bupati kendal no 51 tahun 2017 pasal.

Contoh surat lamaran kerja menjadi perangkat desa involve some pictures that related each other. Contoh Surat Untuk Kepala Desa Siswapelajar Com
Contoh Surat Untuk Kepala Desa Siswapelajar Com from imgv2-1-f.scribdassets.com
Find out the newest pictures of contoh . 2, surat pernyataan bertaqwa kepada tuhan yang maha esa. Ketentuan surat permohonan dari bakal calon perangkat desa, sebagai berikut: Demikian surat lamaran ini dibuat, atas . Krembung dalam penjaringan dan penyaringan perangkat . Sebagai bahan pertimbangan, dapat dikemukakan bahwa hal yang mendorong saya mencalonkan diri sebagai perangkat desa antara lain adalah . 3, surat pernyataan setia kepada pancasila dan uud 1945. Ditulis sendiri (tulis tangan) dengan tinta hitam di .

3, surat pernyataan setia kepada pancasila dan uud 1945.

Ketentuan surat permohonan dari bakal calon perangkat desa, sebagai berikut: Find out the newest pictures of contoh . Contoh surat permohonan menjadi bakal calon perangkat desa atau sekretaris desa berdasarkan peraturan bupati kendal no 51 tahun 2017 pasal. 1, surat permohonan menjadi perangkat desa. Krembung dalam penjaringan dan penyaringan perangkat . Demikian surat lamaran ini dibuat, atas . Sahabat blog juragan berdesa, pada kesempatan ini admin akan berbagi secara gratis surat permohonan menjadi perangkat desa. 2, surat pernyataan bertaqwa kepada tuhan yang maha esa. Surat pernyataan bersedia untuk berdomisili di desa sambiroto selama menjabat sebagai perangkat desa. 3, surat pernyataan setia kepada pancasila dan uud 1945. Surat permohonan menjadi perangkat desa doc guru profesional. Ditulis sendiri (tulis tangan) dengan tinta hitam di . Dengan ini mengajukan lamaran / permohonan untuk menjadi calon perangkat desa mojoruntut kecamatan.

Surat Permohonan Menjadi Perangkat Desa - Format Daftar Riwayat Hidup Calon Perangkat Desa Antapedia Com / Video kali ini menjelaskan tentang contoh surat permohonan calon perangkat desarekomendasi video cotoh dan format surat pengunduran .. 1, surat permohonan menjadi perangkat desa. Contoh surat lamaran kerja menjadi perangkat desa involve some pictures that related each other. Krembung dalam penjaringan dan penyaringan perangkat . Sahabat blog juragan berdesa, pada kesempatan ini admin akan berbagi secara gratis surat permohonan menjadi perangkat desa. 3, surat pernyataan setia kepada pancasila dan uud 1945.

Posting Komentar untuk "Surat Permohonan Menjadi Perangkat Desa - Format Daftar Riwayat Hidup Calon Perangkat Desa Antapedia Com / Video kali ini menjelaskan tentang contoh surat permohonan calon perangkat desarekomendasi video cotoh dan format surat pengunduran ."